Медицинская наука Армении 3.2010
Сравнительный анализ фоновой импульсной активности нейронов голубого пятна у контрольных и паратиреопривных крыс
Ключевые слова: околощитовидные железы, голубое пятно, паратгормон
В последние десятилетия увеличился интерес к проблеме взаимодействия различных систем в реализации стресс-реакций, вызванных всевозможными причинами. В связи с этим изучение механизмов функционального взаимодействия таких важнейших систем адаптации, коими являются норадренергическая и эндокринная системы, приобретает доминирующее значение.
Благодаря множественным связям с различными структурами мозга, голубое пятно (ГП) оказывает значительное влияние на их функционирование [5,7-10]. Основным медиатором ГП является норадреналин, синтез и выработка которого осуществляются при участии аденилатциклазы и Са2+ [3,11]. Многогранность норадренергического контроля позволяет заключить, что система, его осуществляющая, тесно связана и с эндокринной системой, где одну из ключевых ролей играет кальцийрегулирующий комплекс. Посредством ß- адренергических рецепторов катехоламинергические системы способствуют активации околощитовидных желез (ОЩЖ), тем самым вовлекая их в общий регуляторный процесс со стороны нервной системы [1]. Литературных данных, указывающих на взаимосвязь между кальцийрегулирующей и норадренергической системами, немного, однако следует полагать, что она осуществляется самым тесным образом [6, 11]. Основными регуляторами метаболизма кальция и фосфора в организме являются паратгормон, тиреокальцитонин и кальцитриол (гормонально-активная форма витамина D3), синтезируемые щитовидно-паращитовидным комплексом и почками. Также имеются литературные подтверждения о влиянии схожего с паратгормоном (ПТГ) пептида TIP39 на активность нейронов ГП [6]. Данные работы не отражают прямых связей между ГП и системой паратгормон–тиреокальцитонин–кальций, но могут быть полезными для понимания косвенных взаимосвязей между ними.
Для выявления функциональных взаимовлияний кальцийрегулирующей и норадренергической систем мозга в представленной работе была поставлена задача исследовать фоновую импульсную активность (ФИА) нейронов ГП в условиях паратиреопривной гипокальциемии у крыс.
Материал и методы
Исследования были проведены на белых беспородных крысах-самцах массой 180-220 г. Эксперименты были разбиты на два этапа: на первом этапе проводилось исследование ФИА на контрольных крысах, во втором – на крысах с хирургически удаленными ОЩЖ. После операции крысы содержались в изолированных условиях в течение 3-5 суток с оценкой клинической картины, после чего брались на электрофизиологические эксперименты. Электрофизиологические исследования проводились на 3-5-е сутки после операции при обязательном развитии у крыс характерных для гипофункции ОЩЖ двигательных нарушений. ОЩЖ удалялись хирургическим путем с использованием коагулятора. Для сравнения, после проведения эксперимента, определялся уровень общего и ионизированного кальция в крови. Так, у контрольных крыс уровень общего Ca2+ составлял от 1,77 до 2,4 мМ/л, а уровень ионизированного Ca2+ – от 0,25 до 0,5 мМ/л. У паратиреоэктомированных животных уровень общего Ca2+ был от 0,5 до 0,45 мМ/л, тогда как уровень ионизированного Ca2+ не превышал 0,05 мМ/л. Как контрольных, так и крыс, подвергнутых паратиреоидэктомии, наркотизировали уретаном дозой 1,2 г на 1 кг (внутрибрюшинно). Для экстраклеточного отведения ФИА нейронов ГП применяли стеклянные микроэлектроды с диаметром кончика порядка 1 мкм, заполненных 2-молярным раствором NaCl. Координаты ГП определялись согласно стереотаксическому атласу [5]. После экспериментов проводился гистологический контроль попадания микроэлектрода в соответствующую структуру мозга. Анализ ФИА нейронов ГП проводился с помощью пакета разработанных программ. Определялись группы нейронов, обладающих регулярным, промежуточным по степени регулярности, нерегулярным и нестационарным характером ФИА. Выделялись также четыре динамических типа ФИА: 1 – случайная последовательность длительности межимпульсных интервалов; 2 – пачечно-групповая активность; 3 – локальное изменение частоты разрядов; 4 – монотонное изменение частоты разрядов. Для стационарных нейронов строились гистограммы межимпульсных интервалов (ГМИ), по форме которых определялись моно-, би- и полимодальные нейроны. Согласно значениям средней частоты ФИА нейронов, все стационарные клетки были условно разделены на три группы: нейроны с низкой (менее 5 Гц), средней (5–10 Гц) и высокой (более 10 Гц) частотой разрядов. Наряду с этим вычисляли среднее значение частоты (F) импульсации нейронов. Для оценки достоверности изменений в распределениях нейронов по степени регулярности ФИА, динамическим типам импульсной активности, модальности ГМИ и распределений нейронов по частотным интервалам в различных сериях экспериментов использовали критерий c2. Достоверность изменения частоты разрядов нейронов ГП в различных сериях проведенных исследований оценивалась согласно критерию Стьюдента (таблица).
Таблица
Достоверность отличия показателей фоновой импульсной активности нейронов исследованных структур мозга в различных сериях экспериментов
Примечание: А – распределение по степени регулярности; Б – распределение по динамическим типам; В – распределение по модальности гистограмм межимпульсных интервалов; Г – распределение по частотным интервалам; F – средняя частота разрядов нейронов; CV – коэффициент вариации межимпульсных интервалов; As – асимметрия гистограммы межимпульсных интервалов; Ex – эксцесс гистограммы межимпульсных интервалов; Mo – мода гистограммы межимпульсных интервалов; P – вероятность моды гистограммы межимпульсных интервалов; I – индекс отличия фоновой импульсной активности сравниваемых серий экспериментов.
Достоверность отличия распределений А – Г оценивалась согласно критерию c2, достоверность отличия статистических показателей F, CV, As, Ex, Mo и P оценивалась согласно критерию Стьюдента. В случае достоверного отличия распределений А – Г в соответствующих ячейках таблицы указан уровень его значимости. Достоверное увеличение или уменьшение статистических показателей при уровне значимости Р < 0.05 отмечено знаком «+» или «-» соответственно, статистически недостоверные изменения показателей фоновой активности – прочерком или символом “0”.
Результаты и обсуждение
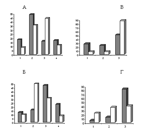
Согласно полученным результатам [2], в норме в ГП контрольных животных преобладают нейроны с промежуточной по степени регулярности активностью ФИА – 48,7%, из 94 зарегистрированных нейронов (рис.). Примерно в равной степени представлены регулярные, нестационарные и нерегулярные нейроны – 18,1; 17 и 16,2% соответственно. По характеру динамической активности в ГП преобладают нейроны с локальными и монотонными изменениями частоты разрядов – 47.9 и
Усредненные показатели фоновой импульсной активности нейронов голубого пятна контрольных (серые столбцы) и паратиреопривных
(белые столбцы) крыс.
А. Распределение по степени регулярности:1–регулярные; 2–промежуточные по степени регулярности; 3–нерегулярные;4–нестационарные.
Б. Распределение по динамическим типам активности:1–случайная последовательность межимпульсных интервалов; 2–пачечная или групповая активность; 3–локальное изменение частоты;4–монотонное изменение частоты разрядов.
В. Распределение по модальности: 1–мономодальные; 2–бимодальные; 3–полимодальные.
Г. Распределение по частоте: 1–низкочастотные; 2–среднечастотные; 3–высокочастотные
23.3% соответственно. Сравнительно меньше нейронов с пачечно-групповым характером импульсации и случайным следованием МИ – 16 и 12.8% соответственно. В норме в ГП преобладают полимодальные нейроны – 50%, моно- и бимодальные клетки составляют 26,9 и 23,1% соответственно. В распределении нейронов ГП по частотным интервалам высоко-, средне- и низкочастотные нейроны составляют 82,1, 12,5 и 5,1% соответственно. Средняя частота разрядов нейронов ГП составляет 24,9 Гц.
Как видно из приведенных данных (рис., табл.), после паратиреоидэктомии по вышеотмеченным показателям произошли достоверные изменения. Так, из 70 зарегистрированных нейронов по степени регулярности преобладали нейроны третьего типа (нерегулярные) – 44,3%. Число регулярных и нестационарных нейронов резко снизилось до 8,5 и 11,4 % соответственно. До 35,7% понизилось и число нейронов промежуточного типа. По характеру динамической активности у паратиреоидэктомированных крыс значительно возросло число нейронов с пачечно-групповой активностью и локальным изменением частоты МИ. Незначительно понизилось количество нейронов с случайной последовательностью МИ, но при этом резко понизилось число нейронов с монотонным изменением частоты. Обращает на себя внимание резкое сокращение, после удаления ОЩЖ, количества моно- и бимодальных нейронов. На этом фоне резко возросло число полимодальных нейронов – 87,1%. По частотным характеристикам также можно видеть резкие изменения. Так, если в контроле преобладали высокочастотные нейроны, то после удаления ОЩЖ резко увеличилось количество низкочастотных нейронов (менее 5 Гц) – 22,6%. Число среднечастотных нейронов (5-10 Гц) также увеличилось – 37,1%. Несмотря на то, что количество высокочастотных нейронов (более 15 Гц) после операции оставалось высоким (40,3%), однако в сравнении с контрольными показателями, данное значение было намного ниже. После удаления ОЩЖ частота нейронов ГП в среднем составила 12,9±1 Гц.
Таким образом, можно заключить, что вышеотмеченные данные указывают на существенное изменение функциональной активности норадренергической системы мозга в условиях недостаточности кальцийрегулирующей системы. Резкое увеличение низкочастотной активности может служить показателем роли ионизированного кальция в функционировании ГП. Согласно классическим данным, Ca2+ формирует нейрональную активность путем активации биохимических каскадов как на мембране, так и внутри клетки. В первом случае Ca2+ приводит к деполяризации мембраны, во втором – к активации синтеза медиаторов, к примеру, норадреналина. Возможно, в условиях дефицита Ca2+ происходит нарушение синтеза медиатора нейронов ГП норадреналина, с дальнейшим понижением активности. С другой стороны, понижение уровня ПТГ может привести к снижению частоты импульсов со стороны других структур-афферентов к нейронам ГП, что в итоге также должно сказаться на частоте нейронов этого центра. В этих условиях также возможны подключения адаптационных механизмов со стороны афферентов ГП в виде дополнительных связей, что также может объяснять столь резкое увеличение полимодальных ответов.
Поступила 21.05.10
Литература
- Дедов И.И., Мельниченков Г.А., Фадеев В.В. Эндокринология, М., 2000.
- Худавердян Д. Н., Асратян А. А., Вардересян И. В., Ханбабян М. В., Саркисян Р. Ш., Мушегян Г. Х. Анализ фоновой импульсной активности нейронов голубого пятна крысы. Нейрофизиология /Neurophysiology, 2000, т. 32, 4, с.308-313.
- Худавердян Д.Н., Тер-Маркосян А.С. Система паратгормон–кальций в регуляции функциональной активности нейрона, Ереван, 1999.
- Abad-Аlegria F. Estereotaxis troncoencefalica. Trab. Inst. Cajal Invest. Biol., 1971, V. 63, N 1, p. 193-224
- Aston-Jones G., Shipley M.T. et al. The locus coeruleus, A5 and A7 noradrenergic cell groups. In: The Rat Nervous System, Paxinos G., ed. New York: Academic Press, 1995, p. 183-214.
- Dobolyi A., Palkovits M., Bodna I. and Usdin T. B. Neurons containing tuberoinfundibular peptide of 39 residues project to limbic, endocrine, auditory and spinal areas in rat. Neuroscience (122), 2003, 1093–1105.
- Foote S.L., Bloom F.E. et al. Nucleus locus coeruleus: new evidence of anatomical and physiological specificity. Physiol. Rev., 1983, 63(3):844-914.
- Horvath T.L., Peyron C. et al. Strong hypocretin (orexin) innervation of the locus coeruleus activates noradrenergic cells. J. Comp. Neurol., 1999, 415:145-159.
- Morrison J., Foote S. Noradrenergic and serotonergic innervation of cortical, thalamic and tectal visual structures in old and new world monkeys. J. Comp. Neurol., 1986, 243:117-128.
- Pollard H., Llorens-Cortes C. et al. Histamine and histidine decarboxylase in brain stem nuclei: distribution and decrease after lesions. Brain Res., 1978, 157(1):178-181.
- Yoshinaka Murai, Hitoshi Ishibashi, Susumu Koyama and Norio Akaike : Ca2+-Activated K+ Currents in Rat Locus Coeruleus Neurons Induced by Experimental Ischemia, Anoxia, and Hypoglycemia. J. Neurophysiol., 1997, 78:2674-2681.
25.10.2010 Читайте также
Ключевые слова: воспаление, симпато-адреналовая система, иммунитет, периодическая болезнь, глюкокортикоиды, катехоламины
Согласно теории адаптации и дезадаптации, воспаление является защитным фактором, ответом на внешние и внутренние патогенные раздражители (патогены, аутоиммунные антигены и повреждение)...
29.10.2010 Ключевые слова: синдром длительного раздавливания (СДР), почки, синтез белка, пептиды, токсины, компрессия, декомпрессия
Быстрое расстройство скелетных мышц при длительном раздавливании в результате воздействия физических, химических или биологических факторов, названное рабдомиолизисом...
28.10.2010 Ключевые слова: пейсмекерная активность, медленноволновые колебания мембранного потенциала, потенциал действия, околопочечная зона, околопузырная зона
Согласно электрофизиологическому анализу верхних мочевыводящих путей, возбудительные волны гладкомышечной ткани мочеточника зарождаются в дистальной части почечной лоханки...
27.10.2010 Ключевые слова: мочеточник, пиелоуретеральное соустье, околопузырная зона, спонтанная активность, артерия Renalis, автоматизм, ритмогенез
Характерной особенностью гладкомышечной ткани мочеточника является наличие в околопочечной области (зона пиелоуретерального соустья) медленноволнового высокоавтономного автоматизма...
26.10.2010 Ключевые слова: Lactobacillus acidophilus, LPS, IL-10, IL-1ß, моноциты периферической крови человека
Иммунная система не только распознает патогены и отвечает индукцией провоспалительных медиаторов, но способна также подавлять воспаление, которое может вызывать тканевую деструкцию [3]...
22.10.2010 Ключевые слова: молочнокислые бактерии, нитраты, нитриты, нитрозоамины, патогенные микроорганизмы, энтеробактерии
Качество и безопасность пищи имеют важное значение для здоровья человека. В последние годы большую опасность для человека представляют загрязнители пищевых продуктов...
21.10.2010 Ключевые слова: наследственная патология, деформация грудной клетки и позвоночника, ультразвуковое и электрокардиографическое исследование сердца, органов брюшной полости
Яркими представителями наследственных коллагенопатий являются болезнь Марфана-Ашара, синдром Элерса-Данлоса, несовершенный остеогенез, семейная гипермобильность суставов, периодическая болезнь (ПБ)...
20.10.2010 Ключевые слова: аутоиммунный оофорит, мелкокистозная дегенерация яичников, повышение эхоплотности стромы
Несмотря на определенные успехи в диагностике воспалительных заболеваний придатков матки и возросшие возможности терапии, их частота не имеет тенденции к заметному снижению [2–4]...
19.10.2010 Ключевые слова: комплексы йода, наружное применение, Арменикум
Сравнительно недавно было доказано, что применение комплексов йода с различными веществами позволяет использовать его для длительного наружного применения [3,4]...
18.10.2010 Ключевые слова: здоровье психиатра, уровень жизни, качество жизни, профессиональный стресс
Сохранение и продление активной жизнедеятельности человека является приоритетным направлением здравоохранения. В решении стратегических задач в сфере здравоохранения одним из главных ресурсов является медицинский персонал...
15.10.2010 Ключевые слова: модель, сердце, КПД, функциональное состояние, гемодинамика
1. Определение гемодинамического КПД сердца. Сердце – основной источник энергии, которая затрачивается на кровообращение по кровеносному руслу...
14.10.2010 Ключевые слова: хроническая сердечная недостаточность, фармакоэкономический анализ, соотношение стоимость–эффективность, ингибиторы ангиотензинпревращающего фермента
В последние годы большое внимание уделяется фармакоэкономике используемых методов лечения. Этот интерес обусловлен несколькими факторами...
13.10.2010
САМЫЕ ЧИТАЕМЫЕ СТАТЬИ
-
Нормы роста и веса детей – данные ВОЗ
-
Зеленые выделения из влагалища: причины и лечение
- Анатомо-физиологические особенности дыхательной системы у детей
-
Насморк с кровью: причины симптома и способы лечения
- Анатомо-физиологические особенности сердечно-сосудистой системы у детей
- Анатомо-физиологические особенности пищеварительной системы у детей
- Анатомо-физиологические особенности мочевыделительной системы у детей
- Сравнительная характеристика параметров функции внешнего дыхания (обзор литературы)
- Современные представления о норме и патологических отклонениях размеров восходящей аорты при приобретенных пороках сердца
- Анатомо-физиологические особенности детей
- Анатомо-физиологические особенности костно-мышечной системы у детей
- Паллиативная химиотерапия рака: основные понятия и особенности (oбзор литературы)
-
Что можно и что нельзя делать после удаления аппендицита
-
Увеличенные яичники: симптомы, причины и лечение
-
О чем говорит головная боль за ухом? Причины, симптомы и лечение
-
Новейшие достижения онкологии в МЦ «Наири»: интервью с Артемом Степаняном. nairimed.com
-
Как снизить риск инсульта. erebunimed.com
-
Характер мужчины проявляется в выборе позы для секса
-
Армянская ассоциация медицинского туризма (ААМТ)
-
Желтые выделения из влагалища: причины и лечение
-
Рвота у ребенка без температуры: возможные причины
- Применение летрозола для стимуляции овуляции
- Врожденные аномалии и пороки развития
-
КАТИОНОРМ – представитель нового поколения искусственных слез для симптоматической терапии синдрома “сухого глаза”
-
Арам Бадалян: Родинку трогать нельзя?
- Применение противоспаечных средств в профилактике спаечной болезни живота (oбзор литературы)
-
Как избавиться от лямблий — 25 эффективных рецептов народной медицины
-
Вздутие живота при месячных: 7 способов справиться с неприятным ощущением
-
Компресс при ангине: будет ли полезным прогревание горла?
-
Онкология является самой быстроразвивающейся отраслью медицины: интервью с Левоном Бадаляном
-
Лечение марганцовкой
- Некоторые новые подходы к системной терапии метипредом больных ревматоидным артритом
- Медицинские информационные системы.Информационная система для интегрального фармацевтического и здравоохранного мониторинга
-
Фармацевтическая опека
- Подходы к оперативному лечению костно-хрящевых экзостозов
- Повреждения при родах
- Инциденталома надпочечников
-
Курение марихуаны влияет на потенцию
-
Почему противозачаточные увеличивают грудь?
- Применение индинола и эпигаллата при аденомиозе













Научная медицина
Болезни
Традиционная медицина
Здоровый образ жизни
Косметология
Медицинское право
Алгоритмы, тесты
Цифры, факты, случаи
Историческая хроника
Афоризмы
Карьерная лестница
Дети
Женщина
Мужчина
Рейтинговая система

