Գաստրոէնտերոլոգիա, լյարդաբանություն
Ստամոքսի եվ 12 մատնյա աղու խոցային հիվանդության վաղաժամ և ակտիվ հայտնաբերումը
Այսօր արդեն ակնհայտ է, որ միայն կլինիկական հետազոտությունների վրա հիմնված պրոֆիլակտիկ քննությունների մակարդակը չի կարող համապատասխանել առողջապահության արդի պահանջներին: Որոշ դեպքերում պրոֆիլակտիկ քննությունները կարող են փոխարինվել Սքրինինգային համակարգին:
Մեր կողմից մշակվել և առաջարկվել է ստամոքսի և 12մատնյա աղու խոց հիվանդության հայտնաբերման արդյունավետ համակարգ, որը հնարավոր է իրականացնել մի քանի փուլերով: ՀՀ Առողջապահական համակարգի հիմնական նպատակն է դարձել բարձրացնել հիվանդությունների կանխարգելման և առաջնային բուժօգնության արդյունավետությունն,բարելավել բնակչության ֆիզիկական, հոգեկան առողջության և սոցիալական բարեկեցության ցուցանիշները: Այս նպատակին հասնելու ռազմավարության հիմնական ուղղություններից մեկը հանդիսանում է հիվանդությունների կանխարգելման միջոցառումների շեշտադրումը: Հիվանդությունների վաղաժամ և ակտիվ հայտնաբերման պրոֆիլակտիկ քննությունների արդյունավետության բարձրացման նպատակով անհրաժեշտ է կիրառման ավտամատացված սքրինինգի համակարգ:Սքրինինգի հիմնական նպատակն է` որևէ հիվանդության կասկածի դեպքում խմբերի ակտիվ առաջնակի ընտրանք: "Մասսայական սքրինինգի" տարբեր ձևերի զարգացումը անհրաժեշտություն առաջացավ, երբ առողջապահական մարմինների առջև դրվեց խնդիր բնակչության ավելի լայն մասսաների ընդգրկվել պրոֆիլակտիկ քննության ծրագրի մեջ: Վերջին տարիներին շատ հեղինակներ ռիսկի խմբի հայտնաբերման առաջին փուլի համար առաջարկում են կիրառել անկետային մեթոդը:Մի շարք հեղինակներ հիմնավորում են, որ անկետային սքրինինգից հետո ընդամենը 10-20%-ը կարիք ունի խորը հետազոտության:Անկետային սքրինինգը պետք է լինի բազմափուլ: Մեր կողմից մշակվել է "Մասնագիտական անկետ" ստամոքսի և 12 մատնյա աղու խոցային հիվանդության վաղաժամ և ակտիվ հայտնաբերման համար:Անկետայում ընդգրկված են առավել տարածված և առավել վաղ դրսևորվող հատկանիշներ: Հարցերը ձևակերպված են շատ պարզ և մատչելի: Անկետան բաղկացած է 39 հարցից և 142 ձևակերպված պատասխաններից: Յուրաքանչյուր հարցի համար առաջարկվում է ամբողջական փոխկապակցված պատասխաններ:Անկետան բաղկացած է 5 խումբ հարցերից, որոնք բնութագրում են համապատասխան 5 խումբ սինդրոմներ: Յուրաքանչյուր սինդրոմում առանձնացվել է այն հիմնական կլինիկական պատասխանները,որոնք խմբավորվում են դիագնոստիկ կարևոր սինդրոմների, սիմպտոմոկոմպլեքսի և սինդրոմների մեջ:Կանխատեսվում է սինդրոմների արտահայտվածության 3 աստիճան,որոնք որոշվում են այն սինդրոմների քանակական և կլինիկական արժեքով, որոնք տվյալ սինդրոմի համար համարվում են որոշիչ:Անկետայում բացի գլխավոր հարցերից, կան նաև ճշտող հարցեր:
Այսպիսով, յուրաքանչյուր հարցի պատասխանի տարբերակը կապված է պատասխանների հավաքածուից:Այսպիսի մոտեցումը հնարավորություն է տալիս հայտնաբերել այն վիճակները, որի ապահովման համար մեկ հարցին հարցման ենթարկվողը պետք է տա փոխադարձ բացառող մի քանի պատասխաններ կամ պատասխանի ճշտված հարցին առանց գլխավոր հարցին պատասխանելու կամ հարցադրմանը հարցվողը ընդհանրապես չի տալիս պատասխան:Հաջորդ փուլում հարցի պատասխանները միավորվում են ըստ սինդրոմների և սինդրոմոկոմպլեքսների: Այս տիպի հարցերի պատասխանները բաժանվում են հետևյալ կատեգորիաների` պարտադիր տվյալ սինդրոմի առկայության ժամանակ; դրական` որոշակի աստիճանով բնութագրական է տվյալ սինդրոմի համար; անտարբեր` որոշակի նշանակություն չունեցող հատկանիշ տվյալ սինդրոմի համար; պատասխաններ, որոնք կարող են բերել տվյալ սինդրոմի ճանաչման իջեցմանը: Սինդրոմի առկայությունը համարվում է հիմնավորված, եթե այն որոշվում է պատասխանների գոնե մեկ տարբերակով: Տարբերակների ստուգման ժամանակ կատարվում է հետևյալ գործողությունները.
- Պարտադիր պատասխանի բացակայության դեպքում անկետան դուրս է գալիս հաշվառումից:
 - Հաշվվում է անկետայում առկա դրական պատասխանները և համեմատվում տվյալ սինդրոմի համար առաջադրված չափանիշների հետ: Եթե դրական պատասխանները գերակայում են առաջադրված չափանիշին, սինդրոմը համարվում է դրական :
 - Եթե անկետայում կան պատասխաններ, որոնք համարվում են 4-րդ կարգի կամ հարցի դեֆիցիտ պատասխան, ապա չափանիշը կարող է իջեցվել մինչև նախորոք որոշված սահմանը:
 
Արդյունքում անկետայի մշակման ժամանակ հետազոտվողի սիմպտոմային և սինդրոմային գնահատականը տրվում է ծրագրի օգնությամբ, որը հանդիսանում է հիմք հետազոտվողին այս կամ այն խմբի մեջ ընդգրկելու համար: Այն որոշում է նաև հետազոտության կազմակերպման հերթականությունը և մեթոդիկան:Անկետային մեթոդի տեղեկատվության ստուգման համար մի շարք հեղինակներ առաջարկում են համալիր էնդոսկոպիկ, մորֆոլոգիական հետազոտության կազմակերպում: Յուրաքանչյուր խմբի համար` n=100:Ստամոքսի խոցային հիվանդություն սովորաբար դիագնոզվում է I, II, III խմբերում: IV խմբում, սովորավար, խոցի հավանականությունը վիճակագրորեն հավաստի չէ (p>0,05):12-մատնյա աղու խոցային հիվանդություն հայտնաբերվում է I, II, III խմբերում,իսկ IV խմբում` ոչ: Տարբերության հավաստիությունը,
  , հավանականությունը 12մատնյա աղու խոցային հիվանդների հայտնաբերման II և III խմբերում համեմատած I խմբի հետ 5% փոքր է (p0,05):Մակերեսային գաստրիտ հայտնաբերվում է սովորաբար 4 խմբերում: Տարբերության հավաստիությունը, որ հիվանդները պատահական հայտնվել են I խմբում և ոչ թե II, III, IV փոքր է 5% (p0,05): Ստամոքսի լորձաթաղանթի ատրոֆիայի դեպքում 4 խմբերում էլ t>3, այսինքն հիվանդների պատահական հայտնվելու հավանականությունը I խմբում համեմատած II, III, IV հետ 1% (p0,05): I խմբում ստամոքսի լորձաթաղանթի պաթոլոգիական փոփոխությունների հայտնաբերման հավանականությունը 17,7±3,8, II խմբում – 74,0±4,4, III խմբում-87,0±3,3, IV խմբում - 97,0±1,7: Վիճակագրական ցուցանիշների տարբերության հավաստիության գնահատումը ցույց է տալիս, որ I խմբում ստամոքսի պաթոլոգիայով հիվանդների հայտնաբերման հավանականությունը կազմել է 1% (p

Նկար 1. Սոցիոլոգիական հարցման ենթարկված պացիենտների բաշխումը
ըստ ռիսկի խմբերի:
1-ին ռիսկի խումբը կազմել են` 870 (29,1%), 3-րդ խումբը` 260 (8,8%): Բացի դա, 450 (15%) անկետաներում նշված է եղել տարբեր տիպի վիրաբուժական հիվանդությունների առկայություն` 248-ը նշել են ստորին վերջույթի երակների վարիկոզ լայնացում, 70-ը` ճողվածք, 134-ը` արտաքին լոկալիզացիայի ուռուցք,1320 (43,8%)-ը կազմել է այն անձանց խումբը, որոնք ոչ մի գանգատ չեն ներկայացրել: Ընտրվել է 1692 (56,2%) պացիենտ որովայնի լոկալիզացիայի վիրաբուժական հիվանդությունների առկայությամբ:Ռիսկի 1-ին խմբի մեջ ընդգրկվել են 40-69տ., որից 86-ը` ստամոքսի հիվանդության կասկածի կապակցությամբ նպատակահարմար է կազմակերպել էնդոսկոպիկ հետազոտություն(աղյուսակ 1.2):
Աղյուսակ 1
Ռիսկի խմբերում ընդգրկված անձանց հետազոտությունների արդյունքները
| 
 Հետազոտվող կոնտինգենտ 
 
 
  | 
 Հետազոտվածների թիվը  | 
 Ստամոքսի խոցային հիվան-դություն  | 
 12մատնյա աղու խոցային հիվան-դություն  | 
 Խրոնիկ ատրոֆիկ գաստրիտ  | 
 Խրոնիկ հիպեր-տրոֆիկ գաստրիտ  | 
 Ընդամենը հայտնաբերվել է  | 
| 
 I II III խումբ  | 
 98 556 192  | 
 5 2 0  | 
 8 9 1  | 
 33 58 10  | 
 20 22 1 
  | 
 66 91 12  | 
| 
 Ընդամենը  | 
 846  | 
 7  | 
 18  | 
 101  | 
 43  | 
 169  | 
Աղյուսակ 2
Ստամոքսի և 12 մատնյա աղու հիվանդությունների ակտիվ հայտնաբերման և բուժական և պրոֆիլակտիկ միջոցառումների կազմակերպման առանձնահատկություններ
| 
 Հայտնաբերված հիվանդների բնույթը 
 
 
  | 
 Հիվանդների թիվը  | 
 Բուժական և պրոֆիլակտիկ միջոցառումների մեթոդները  | 
||||
| 
 վիրաբու- ժական  | 
 կոնսեր- վատիվ  | 
 Առողջա-րանային  | 
 Դիետոթե- րապիա  | 
 Դիսպանսեր հսկողություն  | 
||
| 
 Ստամոքսի խոց 12մատնյա աղու խոց Խրոնիկ ատրոֆիկ գաստրիտ Խրոնիկ հիպերտրոֆիկ գաստրիտ  | 
 7 18 101 
 43  | 
 3 3 0 
 0  | 
 4 15 36 
 43  | 
 0 1 0 
 0  | 
 4 6 5 
 0  | 
 7 18 101 
 43  | 
| 
 Ընդամենը  | 
 169  | 
 6  | 
 98  | 
 1  | 
 15  | 
 169  | 
Ինչպես երևում է աղյուսակ 1-ից 846 անձանցից, որոնք պոլիվալենտ անկետայի մշակումից հետո I, II, III ռիսկի խմբերում են հայտնվել, նպատակային հետազոտության արդյունքում 169-ի մոտ հայտնաբերվել է ստամոքսի որևէ հիվանդություն: Քանի որ II և III ռիսկի խմբերում հայտնված անձանց մասսայական էնդոսկոպիկ հետազոտություն անցկացնելը բավականին բարդ է, մենք գնտում ենք, որ մինչ հետազոտություն կազմակերպելը նպատակահարմար է անցկացնել սքրինինգի II փուլի հետազոտություն:Հիվանդների լրացուցիչ ընտրումը էնդոսկոպիկ հետազոտության համար ցանկալի է կիրառել դիագնոստիկ գործակիցների աղյուսակը: Հաշվողական տեխնիկայի օգնությամբ ցանկացած դիագնոստիկ համակարգի ստեղծման գործընթացում առանձնացվել է հետևյալ հիմնական փուլերը` բժշկական խնդրի ընտրում, հիվանդության նկարագրի համար հակտանիշների առանձնացում, կլինիկական տվյալների կոդավորում, կլինիկական հսկողության համար ուսուցողական ընտրանքի ձևավորում,դիագնոստիկ համակարգի և ալգորիթմների ընտրության ուսուցողական համակարգի ստեղծում, դիագնոստիկ համակարգի արդյունավետության ստուգում: Բժշկական խնդիրների ընտրությունը կատարվել է մի շարք գործակիցների հիման վրա` դիագնոզի որոշման դժվարություններ,բժշկական սխալների քանակը,ախտորոշվող հիվանդությունների տարածվածությունը,բժիշկների մասնագիտացման մակարդակը: Կապված այն բանի հետ, որ բժշկական սխալները մինչհոսպիտալային փուլում հասնում են 63,7%, իսկ տեղամասային թերապևտները դեռ քիչ են ծանոթ պաթոլոգիային, մենք գտնում ենք արդիական բժիշկների շարունակական կրթական ծրագրերում ստամոքսի և 12մատնյա աղու խոցային և հիվանդությունների դիագնոստիկայի և բուժման խնդիրներին վերբերող մոդուլների ընդգրկում: 2-րդ փուլը աղյուսակների ստեղծումն է` հիվանդության հատկանիշների ցուցակի կազմում: Սովորաբար ընտրվում են պրակտիկ փորձի վրա հիմված հատկանիշներ: Մենք ընտրել ենք բոլոր սիմպտոմները, որոնք եղել են նշված հիվանդության պատմագրքերում և ամբուլատոր քարտեզում և սիմպտոմները բաժանել ենք սանդղակների: Օգտագործվել է յուրաքանչյուր սիմպտոմի արտահայտվածության սանդղակ, որը համապատասխանում է կլինիկայում ընդունված սանդղակներին.
- Ա` չկա սիմպտոմներ – 0;
 - Բ`սիմպտոմները թույլ են արտահայտված կամ հանդիպում են հազվադեպ – 1;
 - Գ`սիմպտոմները չափավոր են արտահայտված կամ հանդիպում են հաճախ – 2;
 - Դ`սիմպտոմները խիստ արտահայտված են կամ հանդիպում են մշտապես – 3:
 
Հաշվի առնելով, որ ավելի հաճախ դիագնոզի հարցում սխալվում են պոլիկլինիկական օղակի բժիշկները,մենք ընտրել ենք այն հիվանդների հիվանդության պատմագրերը, որոնք բուժվել են ստացիոնարի թերապևտիկ բաժանմունքում քրոնիկական գաստրիտի կապակցությամբ: Այդ հիվանդության պատմագրերից ընտրվել են բոլոր սիմպտոմները, որոնք բնորոշ են խրոնիկական գաստրիտին: Դրանք ենթարկվել են աստիճանավորման: Ընտրվել են այն սիմպտոմները, որոնք հիվանդության պատմագրերում հանդիպել են ոչ պակաս 50% դեպքերում: Գրանցված սիմպտոմները համեմատվել են գրականության տվյալների հետ, որից հետո կազմվել է սիմպտոմների ցուցակը: Հաշվի առնելով սիմպտոմների արտահայտման աստիճանը, կազմվել է սիմպտոմների հաճախականության աղյուսակ: Հաճախականությունը իրենից ներկայացնում է դեպքերի հարաբերությունը ընդհանուր հիվանդների թվին: Հաճախականության աղյուսակը կազմելուց հետո որոշվում է հաճախականության հարաբերակցությունը: Դրա համար հիվանդների թիվը j-գրադացիայով i-սիմպտոմը նշանակենք A տառով(ստամոքսի և 12 մատնյա աղու խոցի), B-խրոնիկ գաստրիտի: Օրինակ` հիվանդների թիվը` 200.
 
Սիմպտոմի գրադիացիայի հաճախությունը որոշվել է հետևյալ բանաձևով.
 
A և B սինդրոմների մեջ յուրաքանչյուր սիմպտոմի հանդիպման հաճախությունը որոշվել է հետևյալ բանաձևով.
 
Այն սինդրոմները, որոնք ունեցել են 1-ից մեծ արժեք, բնորոշ են խոցին, իսկ 1-ից փոքրը`գաստրիտին: Որքան մեծ է փոփոխության արժեքը, այնքան տվյալ հատկանիշը արժեքավոր է: Հաջորդ փուլը դիագնոստիկ գործակիցների որոշումն է` Ժ/Խ: Այն հաշվարկվել է հետևյալ բանաձևով.
 

Աղյուսակ 3
Սիմպտոմների հաճախականության փոխհարաբերություն
| 
 Սիմպտոմներ, որոնք մտնում են սինդրոմի մեջ 
  | 
 Արտա- հայտ- ման աստի- ճանը Արտահայտ- ման աստի- ճանը  | 
 Ստամոքսի և 12մատնյա աղու խոց  | 
 Քրոնիկ գաստրիտ  | 
 Հարա- բերակ- ցություն  | 
 Դիագ- նոստիկ գործակից Ժ/Խ  | 
||
| 
 Քանակու- թյունը  | 
 Հաճախա-կանու-թյունը 
 (n=200)  | 
 Քանա- կութ- յունը  | 
 Հաճախա-կանու-թյունը 
  | 
||||
| 
 1  | 
 2  | 
 3  | 
 4  | 
 5  | 
 6  | 
 7  | 
 8  | 
| 
 1. Տարիքմինչև 20տ.; 21-50տ.; 51-70տ. 70 և ավելի 
 
  | 
 
 0; 1; 2; 3  | 
 
 2;28; 111 
  | 
 
 0,01; 0,14; 0,5  | 
 
 7; 134; 18 
  | 
 
 0,035; 0,67 0,09  | 
 
 0,29; 0,21 6,2  | 
 
 -0,5(-5); -0,6 (-6)0,7(7)  | 
| 
 2. Հիվանդություն` Չկա, Քրոնիկ գաստրիտ, Որովայնի հիվանդություններ  | 
 0;1 2 
  | 
 21; 92 87  | 
 0,11; 0,46 0,44  | 
 122; 47 31  | 
 0,6; 0,24 0,16  | 
 0,18; 1,92 2,75  | 
 -0,7(-7); 2,2(2) 0,4(4)  | 
| 
 3. Դեղնություն անցյալում չի եղել` Չի եղել, Ինֆեկցիոն բնույթի, Մեխանիկական բնույթի, Չի նկատել  | 
 0; 1 2; 3  | 
 164; 13 8; 15  | 
 0,82; 0,065 0,04; 0,075  | 
 194; 4 1; 1  | 
 0,97; 0,02 0,005; 0,005  | 
 0,84; 3,25 8,0; 15,0  | 
 ;0,0(0); 0,5(5) 0,9(9); 1,1(11)  | 
| 
 4. Շաքարային դիաբետ Չունի, Երկար ժամանակ Հայտնաբերվել է I անգամ  | 
 0 1 2  | 
 185 4 11  | 
 0,93 0,02 0,055  | 
 186 2 2  | 
 0,98 0,01 0,01  | 
 0,94 2,0 5,5  | 
 -0,03(0) 0,3(3) 0,7(7)  | 
| 
 5. Մաշկային քոր Չկա, Հազվադեպ Հաճախ  | 
 0 1 2  | 
 144 13 43  | 
 0,72 0,07 0,1  | 
 198 2 0  | 
 0,99 0,01 0,0  | 
 0,72 7,0 0  | 
 -0,1(-1) 0,8(8) 0(0)  | 
| 
 6. Բերանում այրոց Չկա, Հազվադեպ Հաճախ  | 
 0 1 2  | 
 28 23 34  | 
 0,34 0,11 0,17  | 
 186 12 2  | 
 0,93 0,06 0,01  | 
 0,15 1,9 17,0  | 
 -0,8(-8) 0,3(3) 1,2(12)  | 
| 
 7. Դիսպեպսիա Չկա, Հազվադեպ, Հաճախ  | 
 0 1;2  | 
 18 38; 144  | 
 0,09 0,19; 0,72  | 
 21 18; 161  | 
 0,105 0,09; 0,81  | 
 0,85 2,11; 0,88  | 
 -0,0(0) 0,3(3); -0,1(-1)  | 
| 
 8. Էպիգաստրալ ցավեր Չկա, Հազվադեպ, Հաճախ  | 
 0 1; 2  | 
 138 4; 20  | 
 0,69 0,02; 0,1  | 
 188 10; 2  | 
 0,94 0,05; 0,01  | 
 0,73 0,4; 10,0  | 
 -0,1(-1) -0,3(3); 1,0(10)  | 
| 
 9.Էպիգաստրալ ծանրության Չկա, Հազվադեպ, Հաճախ  | 
 0;1 2  | 
 141; 14 17  | 
 0,71; 0,07 0,09  | 
 195; 4 1  | 
 0,98; 0,02 0,005  | 
 0,72; 3,5 18,0  | 
 -0,1(-1); 0,5(5) 1,0(10)  | 
| 
 10. Ցավերի կապը սնունդ ընդունելու հետ`Չկա Հազվադեպ, Հաճախ  | 
 0 1 2  | 
 169 22 8  | 
 0,85 0,11 0,04  | 
 15 8 17  | 
 0,075 0,04 0,085  | 
 11,2 2,75 0,47  | 
 1,0(10) 0,4(4) -0,3(-3)  | 
| 
 11. Ցավերը ճառագայթվում են դեպի թիակ` Չկա, Հազվադեպ, Հաճախ  | 
 0 1 2  | 
 100 16 32  | 
 0,5 0,08 0,16  | 
 198 2 0  | 
 0,99 0,01 0,0  | 
 0,5 8 0  | 
 -0,2(-2) 0,9 (9) 1.3(13)  | 
| 
 12. Անորոշ ցավեր Չկա Հազվադեպ, Հաճախ  | 
 0;1;2  | 
 68; 18; 45  | 
 0,34; 0,1;0,2  | 
 82; 18; 18  | 
 0,41; 0,09; 0,09  | 
 0,8; 1,0;2,5  | 
 0,8(8); 0(0); 0,3(3)  | 
| 
 13. Գիշերային ցավեր` Չկա Հազվադեպ, Հաճախ  | 
 0 1; 2  | 
 124 13; 21  | 
 0,62 0,07; 0,11  | 
 181 17; 1  | 
 0,91 0,08; 0,005  | 
 0,7 0,8; 22,0  | 
 -0,1(-1) -0,1(-1); 1,3(13)  | 
| 
 14.Ցավի բնույթի փոփոխություն` Չկա, Կա  | 
 0,1  | 
 138,62  | 
 0,69; 0,31  | 
 198; 2  | 
 0,99; 0,01  | 
 0,7; 31  | 
 -0,1(-1); 1,4(14)  | 
| 
 15. Քաղցկեղի փոքր հատկանիշների սիմպտոմ` Չկա, Արտահայտված է  | 
 0 1  | 
 31 107  | 
 0,16 0,54  | 
 185 2  | 
 0,93 0,01  | 
 0,17 54,0  | 
 -0,76(-7) 1,73(17)  | 
| 
 16. Քաշի կորուստ` Չկա Աննկատ, Նկատելի  | 
 0 1;2  | 
 47 96; 57  | 
 0,24 0,48; 0,29  | 
 197 2;1  | 
 0,99 0,01; 0,005  | 
 0,24 48,0; 57,0  | 
 -0,6(-6) 0,6(6); 1,7(17)  | 
| 
 17. Մաշկային ծածկույթի գույնը Նորմալ, Գունատ  | 
 0 1  | 
 41 159  | 
 0,21 0,8  | 
 172 28  | 
 0,86 0,14  | 
 0,24 0,14  | 
 -0,6(-6) 0,7 (7)  | 
| 
 18. Պալպացիայի ցավոտություն Չկա, Աննշան, Արտահայտված  | 
 0 1;2  | 
 16 102; 82  | 
 0,08 0,51; 0,41  | 
 187 11;2  | 
 0,94 0,06; 0,01  | 
 0,18 9,27;41  | 
 -1,09(-10) 0,96(9); 1,6(16)  | 
| 
 19. Աջ թուլակողի շրջանի ցավոտություն` Չկա Աննշան, Արտահայտված  | 
 0 1;2  | 
 17 92; 91  | 
 0,09 0,46; 0,45  | 
 77 21;2  | 
 0,89 0,11; 0,01  | 
 0,1 4,38; 45,0  | 
 -1,0(0) 0,6(6); 1,6(16)  | 
| 
 20. Լեղապարկի շոշափում Չկա, Կա  | 
 0 1  | 
 198 2  | 
 0,99 0,01  | 
 200 0  | 
 1,0 0,01  | 
 0,99 0  | 
 -0,0(0) 113  | 
| 
 21. Ուռուցքի շոշափում Չկա, Կա  | 
 0 1  | 
 198 2  | 
 0,99 0,001  | 
 200 0  | 
 1,0 0,0  | 
 0,99 0  | 
 -0,0(0) 113  | 
| 
 22.Ստամոքսիռենտգեն հետազոտություն` Չկա փոփոխություն, գաստրիտ, խոց  | 
 0 1 2  | 
 162 36 2  | 
 0,81 0,18 0,01  | 
 14 186 0  | 
 0,07 0,93 0,0  | 
 11,5 0,18 0  | 
 1,0(10) -0,7(-7) (13)  | 
| 
 23. Անեմիա` Չկա,Կա  | 
 0;1  | 
 68; 104  | 
 0,34; 0,52  | 
 185; 14  | 
 0,9; 0,07  | 
 0,35; 17,4  | 
 -0,4(-); 0,8(8)  | 
| 
 24. Ստամոքահյութի թթվայնության իջեցում` Չկա, Կա  | 
 0 1  | 
 107 62  | 
 0,59 0,31  | 
 6 31  | 
 0,03 0,15  | 
 17,8 2,0  | 
 1,2(12) 0,3(3)  | 
| 
 25. ԷՆԱ բարձրացում` Չկա Մինչև 15մմ/ժամ, 15մմ/ժամ  | 
 0 1;2  | 
 122 31; 47  | 
 0,61 0,16; 0,23  | 
 187 12; 1  | 
 0,93 0,06; 0,005  | 
 0,66 2,58; 47  | 
 -0,1(-1) 0,4(4); 1,6(16)  | 
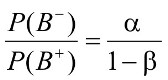
Արդյունքները կլորացվել են հեշտության համար: Սիմպտոմների դիագնոստիկ գործակիցները, որոնք բնորոշ են խոցային հիվանդությանը դրանք (+) թվերն են, իսկ այն սիմպտոմները, որոնք բնորոշ են խրոնիկ գաստրիտին , դրանք (-) թվերն են: Եզրափակիչ փուլը դիագնոստիկ աղյուսակների կազմման սահմանային արժեքների որոշումն է: Աղյուսակի օգնությամբ դիագնոզը դրվում է դիագնոստիկ գործակիցների հերթականությամբ գումարվելով, այդ պատճառով սահմանային նշանակության ընտրությունը ունի մեծ նշանակություն: Ամենից առաջ անհրաժեշտ է ընդունել, որ դիագնոզի ժամանակ հնարավոր է նաև սխալներ: Առաջին տիպի սխալ, երբ չի դրվում դիագնոզ խոցային հիվանդության( ): Երկրորդ տիպի սխալի դեպքում խրոնիկ գաստրիտի փոխարեն դրվում է դիագնոզ խոցային հիվանդություն( ): Հաշվի առնելով, որ 1-ին սխալը ավելի ծանր է, քան 2-րդը, մենք   մեծությունը վերցրել ենք 1%, կամ 0,01, իսկ  =5% (0,05): Ճիշտ դիագնոզի տեսակարար կշիռը նշանակենք P(A+) կամ P(B+),սխալ դիագնոզի հավանականությունը` P(A-) կամ P(B-): Ճիշտ դիագնոզների տեսակարար կշիռը հավասար է`P(A+)=1- , իսկ սխալինը`P(A-)= : Խոցային հիվանդության ճիշտ և սխալ դիագնոզների փոխհարաբերությունը., իսկ խրոնիկ գաստրիտի համար` 
:
Այսպիսով,եթե (+) դիագնոստիկ գործակիցների գումարի հարաբերույթունը գերազանցում է (-)-ն դիագնոստիկ գումարին կամ հավասար է  
, ապա ընդունվում է որոշում, որ կա խոցային հիվանդություն:Եթե (+) դիագնոստիկ գործակիցների գումարային հարաբերությունը փոքր է (-) դիագնոստիկ գործակիցների գումարին կամ հավասար է
, ապա առկա է քրոնիկ գաստրիտ:Եթե (+) դիագնոստիկ գործակիցների գումարի հարաբերությունը (-)-ին փոքր է 
 և մեծ է 
 պատասխանը անորոշ է: Այս դեպքում անհրաժեշտ է հետազոտությունը շարունակել: Քանի որ մենք տեսականորեն 1-ին կարգի սխալի (
) համար ընդունել ենք 1%, իսկ 2-րդ կարգի (
) սխալի` 5%, սահմանը խոցային հիվանդության համար հավասար է +13, իսկ խրոնիկ գաստրիտի համար սահմանը հավասար է -20: Այն անձիք, որոնց մոտ դիագնոստիկ գործակիցների գումարը կազմել է +13 և ավել, անհրաժեշտ է առաջնային օղակում կազմակերպել համապատասխան հետազոտությունների ծավալ,իսկ այն անձիք, որոնց մոտ դիագնոստիկ գործակիցների գումարը կազմել է -20 և ցածր անհրաժեշտ է անցկացնել ստամոքսի ֆիբրոգաստրոսկոպիկ կամ ռենտգենոսկոպիկ հետազոտություն: Դիագնոստիկ գործակիցների գումարի +13;-20 սահմաններում սովորաբար հայտնվում են այն անձիք, որոնց մոտ բացակայում է ստամոքսի որևէ պաթոլոգիա: 
22.04.2010                    Կարդացեք նաև
Բանալի բառեր. անաստամոզիտներ, ախտորոշում, կանխարգելում, բուժում
Չնայած գիտական և գործնական բժշկության նվաճումներին, խոցային հիվանդությունը (ԽՀ) մնում է ժամանակակից գաստրոէնտերոլոգիայի առավել արդիական խնդիրներից մեկը...
10.01.2013                                    Բանալի բառեր. անաստամոզ, անաստամոզիտներ, կանխարգելում, բուժում
Ստամոքսի մասնահատումից հետո հետվիրահատական շրջանում հանդիպող բարդությունների մեջ առաջին տեղերից մեկն է զբաղեցնում անաստամոզիտը [1,5,10]...
Բանալի բառեր. փայծաղի, լյարդի վնասումներ, ուլտրաձայնային հետազոտություն, համակարգչային շերտագրություն
Համակցված վնասումների ախտորոշումը շարունակում է մնալ ժամանակակից անհետաձգելի վիրաբուժության արդի խնդիրներից մեկը...
28.09.2012                                    Բանալի բառեր. փայծաղի վնասում, օրգանպահպան վիրահատություններ, սպլենէկտոմիա, որովայնային բարդություններ
Պոլիտրավմայի ժամանակ որովայնի խոռոչի օրգաններից ամենահաճախը վնասվում է փայծաղը, որի դեպքում սպլենէկտոմիան նախկինում համարվում էր բուժման միակ մեթոդը...
27.09.2012                                    Բանալի բառեր. ֆիտոբեզոար, բարակաղիքային անանցանելիություն
Ներածություն: Բարակաղիքային մեխանիկական անանցանելիությունը բարակ աղիքի վիրաբուժական միջամտություն պահանջող և առավել հաճախ հանդիպող ախտաբանական վիճակ է...
Ներկայում սուր պանկրեատիտը անհետաձգելի վիրաբուժության ամենակարևոր և հետագա ուսումնասիրություններ պահանջող խնդիրներից մեկն է : Վերջին տարիներին նկատվում է պանկրեատիտով...
29.04.2010                                    Սուր դեստրուկտիվ պանկրեատիտի բուժման պատմությունն իրենից ներկայացնում է բազմամյա երկխոսությունների պատմություն` կոնսերվատիվ բուժման և ակտիվ վիրաբուժական մեթոդների կողմնակիցների միջև...
28.04.2010                                    Վիրուսային հեպատիտները շարունակում են մնալ ժամանակակից բժշկության հրատապ խնդիրներից մեկը` պայմանավորված այս վարակների լայն տարածվածությամբ (նաև զարգացած երկրներում) և համաճարակաբանական բարձր ներուժով[6,9]...
Ներկայում սուր պանկրեատիտը անհետաձգելի վիրաբուժության ամենակարևոր և հետագա ուսումնասիրություններ պահանջող խնդիրներից մեկն է : Վերջին տարիներին նկատվում է պանկրեատիտով հիվանդների քանակի աճի միտում ամբողջ աշխարհում...
Սուր դեստրուկտիվ պանկրեատիտի բուժման պատմությունն իրենից ներկայացնում է բազմամյա երկխոսությունների պատմություն` կոնսերվատիվ բուժման և ակտիվ վիրաբուժական մեթոդների կողմնակիցների միջև։ Դա պատմություն է մշտական անցումների...
Համաճարակային գործընթացի պարբերականության վրա ազդող հիմնական գործոններից են բնակլիմայական, սոցիալ-տնտեսական, բժշկաաշխարհագրական ազդակները, որոնց համալիր ազդեցության ֆոնի վրա վարակիչ...
11.10.2009                                    Ինչպես ցույց են տալիս վերջերս կատարված հետազոտությունները [1], Արևելյան Եվրոպայի տարածքում ներերակային թմրանյութեր օգտագործող անձանց թվի շարունակական աճը և, միևնույն ժամանակ, բժշկական հաստատություններում աշխատանքի անվտանգության...
10.10.2009                                    Բանալի բառեր. տրանսպլանտատ, ցլի պերիկարդ, լեղուղի, լեղապարկ, մորֆոլոգիական վերլուծություն
XXI դարի բժշկագիտության արագընթաց նվաճումները առայժմ չեն տվել լեղաքարային հիվանդությունից և դրանից բխող հետևանքներից վերջնականորեն խուսափելու հնարավորություն...
30.07.2009                                    Բանալի բառեր. աղիքային անբավարարության համախտանիշ, միկրոօրգանիզմներ, ախտածնություն, միկրոշրջանառություն
Տարածուն պերիտոնիտով տառապող հիվանդների բուժման արդյունքները միշտ չէ, որ գոհացնում են կլինիցիստներին: Չնայած տեսականու գործնական բժշկագիտության...
                
    
                
                
                
            ԱՄԵՆԱԸՆԹԵՐՑՎԱԾ ՀՈԴՎԱԾՆԵՐԸ
- 
            
                                
                                Ժողովրդական դեղամիջոցներ            
         - 
            
                                
                                Հղիություն. 4-րդ ամիս            
         - 
            
                                
                                Հղիություն. 7-րդ ամիս            
         - 
            
                                
                                Կոճապղպեղ նույնն է՝ իմբիր, Ginger եւ Zingiber Officinale            
         - 
            
                                
                                «Արագիլ» հիմնադրամը ստեղծված է՝ օգնելու անպտղությամբ տառապող  զույգերին. Կարինե Թոխունց            
         - 
            
                                
                                Հղիություն. 6-րդ ամիս            
         - 
            
                                
                                Հղիություն. 2-րդ ամիս            
         - 
            
                                
                                Ամուսնական առաջին գիշերը            
         - 4-7 ամսական երեխաների սնուցումը
 - 
            
                                
                                Ընկերության մասին            
         - 
            
                                
                                Խնձորը` պզուկների դեմ. ազատվիր նրանցից 1 գիշերվա ընթացքում            
         - 
            
                                
                                Ինչպես ազատվել անցանկալի մազերից            
         - 
            
                                
                                Պարզվում է ապագա երեխայի սեռը կախված է մայրիկի սնունդից            
         - 
            
                                
                                Դդում            
         - 
            
                                
                                Հիվանդություն, որը փոխում է մեր կյանքը` կրծագեղձի քաղցկեղ            
         - 
            
                                
                                Կոճապղպեղ՝ նիհարելու համար  (կոճապղպեղի թեյ)            
         - 
            
                                
                                Սեռական գրգռում            
         - 
            
                                
                                Արգանդի միոմա. նախանշանները, պատճառներն ու բուժումը            
         - 
            
                                
                                Հղիություն. 1-ին ամիս            
         - 
            
                                
                                Երիցուկ դեղատնային - Ромашка аптечная - Matricaria chamomilla L.            
         - 
            
                                
Չիչխանի օգտակար հատկությունները
 - 
            
                                
                                Քարավուզ (նույն ինքը՝ նեխուր)            
         - 
            
                                
                                Ինչպես ազատվել բերանի վատ հոտից`պարզ միջոց            
         - 
            
                                
                                Դիմակներ` մազերի համար            
         - 
            
                                
                                Կրծքի ցավե՞ր ունեք. ինչ անել            
         - 
            
                                
                                Հեշտոցային արտադրության պատճառները. մասնագետի անդրադարձը            
         - 
            
                                
                                Ընդհանուր տեղեկություններ մարմնի համակարգերի մասին            
         - Բերանի խոռոչի լորձաթաղանթի ախտահարումը սովորական բշտախտի ժամանակ (սկիզբը` նախորդ համարում)
 - 
            
                                
                                Հիվանդություն, որի համար պետք չէ  ամաչել (թութք)            
         - 
            
                                
                                Ընտրություն ըստ հորոսկոպի            
         - Խոսենք այդ մասին. ձեռնաշարժություն
 - 
            
                                
                                Հղիությունը և նախապատրաստվելը դրան            
         - 
            
                                
                                Երբ գլխացավն ախտանիշ է: Հանճարեղ և օժտված մարդկանց հիվանդություն            
         - 
            
                                
                                Լեղաքարային հիվանդություն. բուժման մեթոդները            
         - 
            
                                
                                Սեռական թուլության առաջին նախանշանները. news.am            
         - 
            
                                
                                Ուլտրաձայնային դոպլերոգրաֆիա (երկակի (դուպլեքս) անոթների)            
         - 
            
                                
                                Էկզեմայի տեսակները և բուժումը            
         - 
            
                                
                                Իրիդիոսքրինինգ            
         - 
            
                                
                                ՈւՆԱԲԻ: Արևելյան բժշկության գաղտնիքները            
         - 
            
                                
                                Գամմա-դանակը նշտարի փոխարեն            
         







            
            
            
            
        







Գիտական բժշկություն
Հիվանդություններ
Ավանդական բժշկություն
Առողջ ապրելակերպ
Կոսմետոլոգիա
Բժշկական իրավունք
Ալգորիթմեր, թեստեր
Թվեր, փաստեր, դեպքեր
Պատմական խրոնիկա
Աֆորիզմներ
Կարիերային սանդուղքով
Երեխա
Կին
Տղամարդ
Ռեյթինգային համակարգ